積分(数学3)
不定積分公式




置換積分(不定積分)

部分積分

定積分の性質
(1)定積分f(x)の原始関数の1つをF(x)とするとき

(2)定積分の性質
(A)

(B)

(C)

(k:定数)
(D)

(複合同順)
(E)

(3)偶関数と奇関数の定積分
(A)f(x)が偶関数のとき

(B)f(x)が奇関数のとき

置換積分(定積分)
区間[a,b]において関数f(x)は連続であり、xが区間(a,b)で微分可能な関数g(t)を用いてx=g(t)と表される場合
a=g(α),b=g(β)のとき


微分と積分の関係
定積分の部分積分法


微分と積分の関係
(A)
(aは定数)
(B)

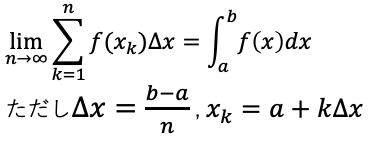
定積分と区分求積法
区間を細かく分け、和の極限値としての面積や体積を求積する方法。f(x)が閉区間[a,b]で連続のとき、この区間をn等分し、
その分点をa=x0,x1,....,xn,xn-1=b
とすると

とくにa=0,b=1のとき

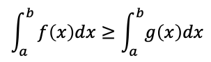
定積分と不等式
区間[a,b]で連続な関数f(x)、g(x)において(A)区間[a,b]においてつねにf(x)≧0ならば

f(x)=0のときに限る。
(B)区間[a,b]で常にf(x)≧g(x)ならば

等号が成り立つのは常にf(x)=g(x)のときに限る。
2曲線で囲まれた図形の面積
区画[a,b]においてf(x)≧g(x)であるとき2曲線y=f(x),y=g(x)と2直線x=a,x=b
にて囲まれた図形の面積Sは

y軸と曲線で囲まれた図形の面積
区画c≦y≦dにおいてf(y)≧0であるとき曲線x=f(y)とy軸および2直線y=c,y=dで囲まれた図形の面積Sは

体積
立体をx軸に垂直な平面で切断したときの断面積がS(x)である立体の体積Vは
回転体の体積
(A)x軸のまわりの回転体の体積曲線y=f(x)とx軸および2直線x=a,x=b(a< b)で囲まれた図形をy軸の周りに1回転してできる回転体の体積Vは

(B)y軸のまわりの回転体の体積
曲線y=g(y)とy軸および2直線y=c,y=d(c< d)
で囲まれた図形をy軸のまわりに1回転してできる回転体の体積Vは

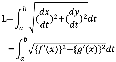
曲線の長さ
(A)媒介変数表示された曲線x=f(t),y=g(t)(a≦t≦b)
の長さをLとすると

(B)曲線y=f(x)(a≦t≦b)の長さをLとすると

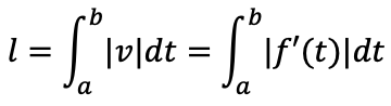
速度と道のり
(A)数直線上の運動点Pの時刻tにおける座標をx=f(t),y=g(t)と表されるとき,
t=a,t=bまでに点pが通過する道のりlは

(B)平面上の運動
点Pの時刻tにおける座標(x,y)が
と表されるとき
t=aからt=bまで点Pが通過する道のりlは

点Pの速度を と表すと

-----------------------------------------------------